미분방정식이란? 미분방정식의 역사, 미분방정식의 종류, 미분방정식의 활용분야
미분방정식이란?
미분방정식은 미분과 관련된 수학적인 방정식입니다. 일반적으로 함수와 그 함수의 도함수(변화율) 사이의 관계를 설명합니다. 미분방정식은 함수의 변화율에 영향을 주는 요인들을 고려하여 시스템의 동작을 모델링하고 예측하는 데 사용됩니다.
미분방정식은 도함수를 포함하는 형태로 나타납니다. 일반적으로 독립 변수와 종속 변수 사이의 관계를 설명하는데 사용됩니다. 종속 변수는 변화율을 알고자 하는 함수이며, 독립 변수는 시간, 공간 또는 다른 변수로서 종속 변수의 변화에 영향을 주는 것입니다.
미분방정식은 주로 이러한 형태 중 하나로 표현됩니다:
- 미분계수를 포함한 미분방정식: 도함수와 함께 종속 변수를 포함하는 방정식입니다. 일반적으로 종속 변수와 독립 변수의 함수인 도함수의 관계를 나타냅니다. 예를 들어, dy/dx = 2x는 y의 도함수가 x에 대해 2x임을 나타내는 미분방정식입니다.
- 편미분을 포함한 편미분방정식: 여러 독립 변수를 가지는 함수에 대한 미분방정식입니다. 종속 변수와 편도함수(편미분) 사이의 관계를 설명합니다. 예를 들어, ∂u/∂t = k∇²u는 u의 시간에 대한 편도함수가 u의 공간적 편도함수와 관계된 미분방정식입니다.
미분방정식은 자연과학 및 공학 분야에서 다양한 현상을 모델링하고 예측하는 데 사용됩니다. 열역학, 전기기술, 기계공학, 화학공학 등 다양한 분야에서 실제 시스템의 동작을 설명하기 위해 미분방정식을 사용합니다. 이러한 방정식을 해석하고 풀어서 시스템의 동작을 예측하는 것은 해당 분야의 이론과 응용에 중요한 역할을 합니다.

미분방정식의 역사
미분방정식은 과학과 공학에서 매우 중요한 역할을 하며, 현대 과학의 발전에 큰 기여를 한 분야 중 하나입니다. 이러한 미분방정식의 발전과 영향력은 다양한 수학자들의 노력과 연구에 의해 이루어졌습니다.
1. 르네 데카르트 (René Descartes, 1596-1650)
미분방정식의 역사는 르네 데카르트의 해석 기하학에서 시작됩니다. 데카르트는 대수학과 기하학을 결합하여 해석 기하학을 개발하였으며, 이를 통해 미분방정식의 해를 구하는 방법을 제시하였습니다.
2. 아이작 뉴턴 (Isaac Newton, 1642-1727)
아이작 뉴턴은 미분과 적분을 발견하였으며, 이를 통해 미분방정식을 해결하는 방법을 개발하였습니다. 그는 미적분학의 창시자로서 미분방정식의 발전에 큰 역할을 하였습니다.
3. 레오나르도 오일러 (Leonhard Euler, 1707-1783)
레오나르도 오일러는 미분방정식의 해석적인 해결법을 개발하였으며, 미분방정식의 해를 구하는 다양한 방법을 제시하였습니다. 그는 미분방정식의 이론적인 발전에 큰 역할을 하였습니다.
4. 카를 프리드리히 가우스 (Carl Friedrich Gauss,1777-1855)
카를 프리드리히 가우스는 미분방정식의 해를 구하는 수치해석적인 방법을 개발하였습니다. 그는 또한 미분방정식의 이론적인 발전에도 기여하였으며, 미분방정식의 해를 구하는 다양한 방법을 제시하였습니다.
5. 알란 튜링 (Alan Turing, 1912-1954)
알란 튜링은 미분방정식을 이용하여 컴퓨터의 작동 원리를 연구하였습니다. 그는 미분방정식을 이용하여 컴퓨터의 작동 원리를 모델링하였으며, 이를 통해 컴퓨터 과학 분야의 발전에 큰 역할을 하였습니다.
6. 리차드 파인만 (Richard Feynman, 1918-1988)
리차드 파인만은 미분방정식을 이용하여 물리학 분야의 다양한 문제를 해결하였습니다. 그는 미분방정식을 이용하여 양자역학 분야의 발전에도 기여하였으며, 미분방정식의 이론적인 발전에도 큰 역할을 하였습니다.
미분방정식의 종류
- 상미분방정식 (Ordinary Differential Equations, ODEs):
- 1차 상미분방정식: 종속 변수에 대한 도함수가 1차인 방정식입니다. 예를 들어, dy/dx = f(x)와 같은 형태입니다.
- 2차 상미분방정식: 종속 변수에 대한 도함수가 2차인 방정식입니다. 예를 들어, d²y/dx² + p(x)dy/dx + q(x)y = r(x)와 같은 형태입니다.
- 편미분방정식 (Partial Differential Equations, PDEs):
- 1차 편미분방정식: 여러 개의 독립 변수와 종속 변수에 대한 편도함수가 1차인 방정식입니다. 예를 들어, ∂u/∂t + c∂u/∂x = 0와 같은 형태입니다.
- 2차 편미분방정식: 여러 개의 독립 변수와 종속 변수에 대한 편도함수가 2차인 방정식입니다. 예를 들어, ∂²u/∂x² + ∂²u/∂y² = 0와 같은 형태입니다.
- 선형 및 비선형 방정식:
- 선형 방정식: 종속 변수와 그 도함수(편도함수)들이 선형 관계로 표현되는 방정식입니다. 예를 들어, dy/dx + p(x)y = q(x)와 같은 형태입니다.
- 비선형 방정식: 종속 변수와 그 도함수(편도함수)들이 비선형 관계로 표현되는 방정식입니다. 예를 들어, dy/dx = y² + x와 같은 형태입니다.
- 확산방정식 (Diffusion Equations):
- 열방정식 (Heat Equation): 열 전달을 모델링하는 편미분방정식입니다. 예를 들어, ∂u/∂t = k∇²u와 같은 형태입니다.
- 확산방정식 (Diffusion Equation): 물질의 확산을 모델링하는 편미분방정식입니다. 예를 들어, ∂u/∂t = D∇²u와 같은 형태입니다.
- 파동방정식 (Wave Equations):
- 파동방정식 (Wave Equation): 파동의 전파를 모델링하는 편미분방정식입니다. 예를 들어, ∂²u/∂t² = c²∇²u와 같은 형태입니다.
이 외에도 다양한 종류의 미분방정식이 존재합니다. 각각의 방정식은 해당 분야의 특정한 현상을 모델링하거나 문제를 해결하는 데 사용됩니다. 미분방정식의 종류와 특성을 이해하면 특정한 문제에 적합한 방법을 선택하고 해를 찾을 수 있습니다.
미분방정식의 여러 해법
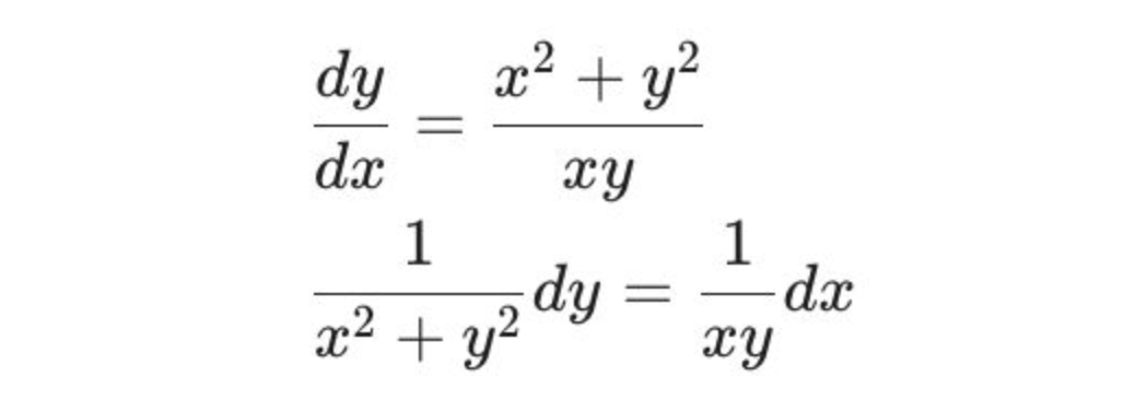
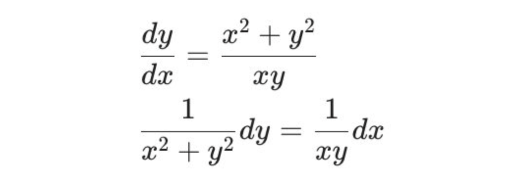
분리 가능한 미분방정식의 해법
미분방정식이 다음과 같은 형태로 분리 가능할 때,
dy/dx = f(x)g(y)
다음과 같은 방법으로 해를 구할 수 있습니다.
∫1/g(y) dy = ∫f(x) dx + C
선형 미분방정식의 해법
미분방정식이 다음과 같은 형태로 선형일 때,
dy/dx + p(x)y = q(x)
다음과 같은 방법으로 해를 구할 수 있습니다.
y = e^(-∫p(x)dx) * (∫q(x)e^(∫p(x)dx)dx + C)
해밀턴-코시 방정식
미분방정식이 다음과 같은 형태로 해밀턴-코시 방정식일 때,
∂y/∂t + ∂H/∂p = 0
∂p/∂t - ∂H/∂y = 0
다음과 같은 방법으로 해를 구할 수 있습니다.
y(t) = ∂H/∂p * t + y0
p(t) = - ∂H/∂y * t + p0
베르누이 방정식
미분방정식이 다음과 같은 형태로 베르누이 방정식일 때,
dy/dx + p(x)y = q(x)y^n
다음과 같은 방법으로 해를 구할 수 있습니다.
y = (u^-n) * exp(∫p(x)dx) * (∫q(x)exp(-n∫p(x)dx)dx + C)
(u = 1-n)
미분방정식의 활용분야
열역학에서 미분방정식은 열역학적 시스템의 변화를 모델링하는 데에 사용됩니다. 이를 통해 열역학적 시스템의 상태 변화를 예측하고, 열역학적 프로세스를 최적화하는 데에 활용됩니다. 예를 들어, 열역학적 프로세스를 최적화하기 위해 열전달, 질량전달, 화학반응 등의 물리적 현상을 모델링하는 미분방정식을 사용할 수 있습니다. 또한, 열역학적 시스템의 엔트로피 변화를 모델링하는 미분방정식은 열역학 제2법칙을 이해하는 데에도 중요한 역할을 합니다.
미분방정식은 공학, 물리학, 생물학, 경제학 등 다양한 분야에서 활발하게 활용되고 있습니다. 특히, 공학 분야에서는 열역학, 전기기술, 기계공학, 화학공학 등에서 미분방정식이 매우 중요한 역할을 합니다. 또한, 생물학 분야에서는 생물학적 시스템의 모델링과 해석에 미분방정식이 활용되고 있습니다. 따라서, 미분방정식은 다양한 분야에서 매우 활발하게 활용되고 있습니다.